一、纤维素硝酸酯的结构和性能
硝化纤维素,又称纤维素硝酸酯,英文是Nitrocellulose(缩写NC),是纤维素分子结构中的羟基与硝化剂中的硝酸发生酯化的产物,常常被人们称之为硝化纤维素,是一种习惯称呼。事实上,严格讲应该称之为纤维素硝酸酯,因为二者发生的是酯化反应,而不是硝化反应。由于纤维素原料有木浆、棉浆不同,纤维素硝酸酯又称木纤维素硝酸酯,棉纤维素硝酸酯。中国缺乏森林,基本全部用的原料是精制棉,所以常常俗称硝化棉,但严格上讲这个叫法并不科学,应该称为纤维素硝酸酯。在英文里面统一称之为Nitrocellulose。
纤维素硝酸酯是天然纤维素的硝酸酯,在社会经济中占有重要的地位。
纤维素硝酸酯作为军用含能粘合剂,目前还没有一种材料可以替代它的特殊地位。低酯度及高酯度的纤维素硝酸酯都是制造枪、炮、火箭以及导弹用推进剂的主要原料。在民用领域广泛用于速干的油漆,汽车、家具与其它工业用搪瓷、涂料、油墨、胶泥、赛璐璐制品及胶片等。
随着我国汽车工业的飞速发展,纤维素硝酸酯工业有着极大的发展。随着国际和我国军用纤维素硝酸酯生产能力的调整,亚洲的生产量和出口量还会增大。目前国内的生产量根本不能满足市场的需求。
二、纤维素硝酸酯反应方程式及反应机理
纤维素的硝酸酯制备过程就是纤维素葡萄糖上的三个羟基与硝酸的酯化反应,有学者认为,酯化反应中,有机酸脱羟基,无机酸脱氢。
1、反应方程式为:

其中,R为天然纤维素的葡萄糖基,其分子式(C6H10O5)。
有学者认为,酯化反应中:有机酸脱羟基,无机酸脱氢。
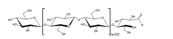
纤维分子中每个葡萄糖环基上均具有三个羟基,其中C-6位的碳原子上的羟基为伯醇羟基,而C-2,C-3上的羟基是仲醇羟基。纤维素的化学结构式如下:

2、制备硝化纤维素的反应机理
1﹚硝化纤维素就是利用纤维素分子上的羟基和硝酸分子上的氢离子在硫酸存在下进行酯化反应。反应方程式如下:

化学反应方程式还可简写为:

2﹚通过以上反应方程式可以看出,纤维素硝酸酯由一个纤维素小分子里提供三个羟基里的OH-与HNO3里的H+,,酯化生成水分子,硝酸根-ONO2取代了纤维素大分子里的OH-,形成硝酸酯,硫酸的主要作用是脱水剂,以去除反应生成的水,使得反应正向进行,并决定了纤维素分子中引入-ONO2的多少。
3、反应条件
1﹚此反应的反应温度28℃--34℃;
2﹚反应中纤维素与混酸的摩尔比: 1:45;
3﹚酯化剂混酸的主要组成,硫酸:硝酸:水= 3:2 :1;
4﹚反应压力保持微负压。
所以此反应条件完全符合酯化反应的机理。
三、我国民品硝化棉公司均生产的是民用硝化棉
我国民品硝化棉公司包括四川北方硝化棉股份有限公司、江苏南通泰利达化工有限公司、衡水东方化工有限公司、湖北雪飞化工有限公司、新乡台硝化工有限公司等等企业,他们的产品按照国家标准含氮量均控制在11.5%--12.2%。
酯化阶段的工艺流程图:

整个反应过程是连续化酯化反应,反应温度一般控制在28℃-34℃,酯化反应酯化剂混酸的组成是硝酸、硫酸和水,为了控制成品的酯化度,以控制混酸中硫酸含量或水含量。纤维素经过热风送至旋风分离器,进喷酸器加混酸.(喷酸器为密闭的装置)进入连续反应器,进行酯化反应,反应器的体积为0.2立方米。
每个反应器的实际净重量只有289kg。按照混酸与纤维素的比例计算,反应器里实际纤维素的量不到12kg,反应时间10分钟左右。纤维素原料在反应器里停留时间约10分钟,就随混酸流入驱酸离心机,分离出的混酸进入混酸槽,再循环使用,产品进入水洗槽。在整个酯化过程均在微负压和流动性的液体中进行。
四、对民品纤维素硝酸酯的硝酸酯工艺过程危险性分析
1、反应温度低28℃--34℃,反应条件温和;
2、反应压力低微负压;
3、反应为连续化反应,一次性投料量少,每只反应器0.2m3,安全性高;
4、反应完全符合酯化反应的机理,并不是传统上所说易燃易爆的硝化反应(俗称硝化棉本身叫法是错误的,其实是纤维素硝酸酯)。有关硝化与硝酸酯化的概念,均有资料注明,详见以下文献:
1) 邵自强等编著,《硝化纤维素生产工艺及设备》,北理工出版社,2002年
2)邵自强等编著,《硝化纤维素结构与性能》,国防出版社,2011年
3)许董生编著,《纤维素衍生物》,化工出版社,2001年
4)蔡杰等编著,《纤维素科学与材料》,化工出版社,2001年
5、纤维素硝酸酯是在酸性水介质中,不会燃烧,不会爆炸,有很好安全性的特点。
综上所述,①从纤维素硝酸酯的合成机理来看,该合成反应为无机酸和醇的酯化反应,不是国家危险工艺里所说的硝化反应;②从反应的实际工艺来看,此反应条件温和,不具备易燃易爆的特点。因此,纤维素硝酸酯的工艺合成是酯化反应,不是硝化反应。
(技术委员会供稿)